
PRML读书会第十三章 Sequential Data
主讲人 张巍
(新浪微博: @张巍_ISCAS)
软件所-张巍<zh3f@qq.com> 19:01:27
我们开始吧,十三章是关于序列数据,现实中很多数据是有前后关系的,例如语音或者DNA序列,例子就不多举了,对于这类数据我们很自然会想到用马尔科夫链来建模:

例如直接假设观测数据之间服从一阶马尔科夫链,这个假设显然太简单了,因为很多数据时明显有高阶相关性的,一个解决方法是用高阶马尔科夫链建模:

但这样并不能完全解决问题 :1、高阶马尔科夫模型参数太多;2、数据间的相关性仍然受阶数限制。一个好的解决方法,是引入一层隐变量,建立如下的模型:

这里我们假设隐变量之间服从一阶马尔科夫链,观测变量由其对应的隐变量生成。从上图可以看出,隐变量是一阶的,但是观测变量之间是全相关的,今天我们主要讨论的就是上图中的模型。如果隐变量是离散的,我们称之为Hidden Markov Models;如果是连续的,我们称之为: Linear Dynamical Systems。现在我们先来看一下HMM ,从图中可以看出,要完成建模,我们需要指定一下几个分布:
1、转移概率:

2、马尔科夫链的初始概率:

3、生成观测变量的概率(emission probabilities):

对于HMM, 这里1和2我们已经假设成了离散分布,由隐变量Zn生成观测数据可以用混合高斯模型或者神经网络,书上的Zn是一个k维的布尔变量,由此再看隐变量转移概率公式、观测数据的生成公式就容易理解了。模型建好了,我们接下来主要讨论下面三个问题:
1、学习问题:就是学习模型中的参数;
2、预测问题:即
,给定当前序列预测下一个观测变量;
3、解码问题:即p(Z|X),给定观测变量求隐变量,例如语音识别;
游侠(419504839) 19:24:21
什么是解码问题?
软件所-张巍<zh3f@qq.com> 19:25:18
例如观测到了一段语音,要求识别其对应的句子。@游侠 我前面没怎么举例子,不知道这样说清楚没?
游侠(419504839) 19:27:20
这个和一般说的"推断"一样不
软件所-张巍<zh3f@qq.com> 19:28:27
这个也可以叫推断,只是推断是个比较一般的词汇。
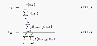
我们来看一下HMM有多少参数要学,对应于刚才说到的三个分布,我们也有三组参数要学。
球猫(250992259) 19:30:46
其实就是假设东西是一个马尔科夫模型生成的。。然后把参数用某种方法弄出来,最后根据模型的输出来给答案……是这样吧?
软件所-张巍<zh3f@qq.com> 19:32:45
@球猫 对,都是这个思路,先把参数学出来,然后就可以做任何想要的推断了,在这里所谓的解码问题只是大家比较关心。
软件所-张巍<zh3f@qq.com> 19:32:51
好,继续,我们先来看1、学习问题。这里我们用EM算法来学习HMM的参数:
1、是转移概率对应的转移矩阵;
2、初始概率对应的离散分布参数;
3、观测变量对应的分布参数(这里暂不指定)。
用EM我们要做的就是:
E步里根据当前参数估计隐变量的后验:

M步里最大化下面的期望:

先来看M步,这里相对简单一点,整个模型的全概率展开为:

把13.10代入13.12,我们会发现计算时需要下面两个式子:
和
为了方便,我们就定义:

这样我们在E步就主要求出这两个式子就行了,当然这也就意味着求出了整个后验
,利用这两个式子,13.12可以化为:

这个时候就可以用一些通用方法,例如Lagrange来求解了,结果也很简单:

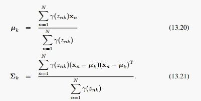
对于观测变量的分布参数,与其具体分布形式相关,如果是高斯:
,对应的最优解为:

如果是离散:
对应的最优解为:

好,M步就这样, 现在来看E步,也是HMM比较核心的地方。刚才我们看到,E步需要求的是:
由马尔科夫的性质,我们可以推出:

其中:

接下来我们就建立
和
的递推公式

其中:

这样我们从
开始,可以递推出所有的
,对于
,也进行类似的推导:


从上式可以看到
是一个逆推过程,所以我们需要初始值
,定义13.35并没有明确
的定义:

因为z_N后没有观测数据,不过我们可以从
,得出:

这样
就等于1,现在我们可以方便的求出所有的
和
了,利用13.13也就可以求出所有的
。类似的,我们可以求出
:

这样在M步里求解所需要的分布就都求出来了,也就可以用EM来学习HMM的参数了,这里式子比较多,大家自己推一下会比较好理解。
第一个学习问题就这样了,接下来是预测问题,预测问题可以直接推导:

现在就剩最后一个解码问题,也就是argmax_Z{p(Z|X)},刚才我们在E步已经求出了:

但是现在的问题要复杂一点,因为我们要求概率最大的隐变量序列,用13.13可以求出单个隐变量,但是他们连在一起形成的整个序列可能概率很小,这个问题可以归结为一个动态规划:

我们把HMM化成如上图的样子,最大化后验等价于最大化全概率,对于上图中的边,我们赋值为:
log(
)
初始节点赋值为:
log(
*p(x_1|z_1))
其余节点赋值为:
log(
)
这样任何一个序列Z,其全概率等于exp(Z对应路径上节点和边的值求和),这样,解码问题就转化为一个最长路径问题,用动态规划可以直接求解。大家看这里有没有问题,HMM的主要内容就是这些
接下来的Linear Dynamical Systems 其实和HMM大同小异,只是把离散分布换成了高斯,然后就是第二章公式的反复应用,都是细节问题,就不在这里讲了,大家看看有问题我们可以讨论。这一章还是式子主导的,略过了不少式子,大家推的时候有问题我们可以随时讨论。
天涯游(872352128) 21:09:21
我对hmm 的理解,觉得这麻烦的是概率的理解的了,概率分解才是hmm的核心,当然了还有动态规划了。概率分解其实是实验事件的分解,如前向 和后向了,还有就是EM算法了。
注:PRML读书会系列文章由 @Nietzsche_复杂网络机器学习 同学授权发布,转载请注明原作者和相关的主讲人,谢谢。
PRML读书会讲稿PDF版本以及更多资源下载地址:http://vdisk.weibo.com/u/1841149974
本文链接地址:https://www.52nlp.cn/prml读书会第十三章sequential-data
http://credit-n.ru/zaymyi-next.html