
1. 神奇的Gamma函数
1.2 Gamma 函数欣赏
Each generation has found something of interest to say about the gamma function. Perhaps the next generation will also.
---Philip J.Davis
Gamma 函数从它诞生开始就被许多数学家进行研究,包括高斯、勒让德、威尔斯特拉斯、柳维尔等等。这个函数在现代数学分析中被深入研究,在概率论中也是无处不在,很多统计分布都和这个函数相关。Gamma 函数作为阶乘的推广,首先它也有和 Stirling 公式类似的一个结论

另外, Gamma 函数不仅可以定义在实数集上,还可以延拓到整个复平面上。
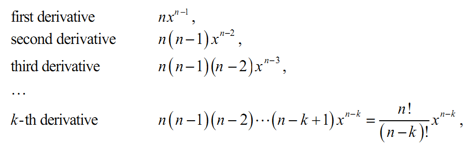
Gamma 函数有很多妙用,它不但使得 (1/2)! 的计算有意义,还能扩展很多其他的数学概念。比如导数,我们原来只能定义一阶、二阶等整数阶导数,有了Gamma 函数我们可以把函数导数的定义延拓到实数集,从而可以计算 1/2 阶导数,同样的积分作为导数的逆运算也可以有分数阶。我们先考虑一下 $x^n$ 的各阶导数
由于k阶导数可以用阶乘表达,于是我们用Gamma 函数表达为

于是基于上式,我们可以把导数的阶从整数延拓到实数集。例如,取$n=1, k=\frac{1}{2}$我们可以计算 $x$ 的 $\frac{1}{2}$阶导数为

很容易想到对于一般的函数 $f(x)$ 通过 Taylor 级数展开可以表达为幂级数,于是借用 $x^n$ 的分数阶导数,我们可以尝试定义出任意函数的分数阶导数。不过有点遗憾的是这种定义方法并非良定义的,不是对所有函数都适用,但是这个思想却是被数学家广泛采纳了,并由此发展了数学分析中的一个研究课题:Fractional Calculus,在这种微积分中,分数阶的导数和积分都具有良定义,而这都依赖于 Gamma 函数。
Gamma 函数和欧拉常数$\gamma$ 有密切关系,可以发现

进一步还可以发现 Gamma 函数和黎曼函数$\zeta(s)$有密切联系,

而$\zeta$ 函数涉及了数学中著名的黎曼猜想和素数的分布定理。希尔伯特曾说,如果他在沉睡1000年后醒来,他将问的第一个问题便是:黎曼猜想得到证明了吗?
$\log \Gamma(x)$
从Gamma 函数的图像我们可以看到它是一个凸函数, 不仅如此, $\log\Gamma(x)$ 也是一个凸函数,数学上可以证明如下定理:
[Bohr-Mullerup定理] 如果 $f:(0,\infty)\rightarrow (0,\infty)$,且满足
- $f(1) = 1$
- $f(x+1) = xf(x)$
- $\log f(x)$ 是凸函数
那么 $f(x) = \Gamma(x)$, 也就是 $\Gamma(x)$是唯一满足以上条件的函数。
如下函数被称为 Digamma 函数,

这也是一个很重要的函数,在涉及求Dirichlet 分布相关的参数的极大似然估计时,往往需要使用到这个函数。Digamma 函数具有如下一个漂亮的性质

函数$\Psi(x)$和欧拉常数$\gamma$ 以及 $\zeta$ 函数都有密切关系,令

则 $\Psi_0(x) = \Psi(x)$,可以证明


所以Gamma 函数在数学上是很有魅力的,它在数学上应用广泛,不仅能够被一个理科本科生很好的理解,本身又足够的深刻,具有很多漂亮的数学性质,历史上吸引了众多一流的数学家对它进行研究。美国数学家 Philip J.Davis 写了篇很有名的介绍 Gamma 函数的文章:“Leonhard Euler's Integral:A Historical Profile of the Gamma Function”,文中对 Gamma 函数一些特性发现的历史进行了很详细的描述,这篇文章获得了 Chauvenet Prize(美国数学会颁发的数学科普最高奖)。
(本小节主要是数学欣赏,如果对某些概念不熟悉,就略过吧:-))


从Psi0(x)=Psi(x)往下看不懂了。
这是怎么得来的?有推导过程不?
从您的文章上受益不浅,thank you very much for sharing!
[回复]
"进一步还可以发现 Gamma 函数和黎曼函数ζ(s)有密切联系,"下一行中的式子似乎写错了,第二个2应该是3吧
[回复]
可以推荐下画图的工具吗?
[回复]