
七、前向-后向算法(Forward-backward algorithm)
隐马尔科夫模型(HMM)的三个基本问题中,第三个HMM参数学习的问题是最难的,因为对于给定的观察序列O,没有任何一种方法可以精确地找到一组最优的隐马尔科夫模型参数(A、B、
)最大。因而,学者们退而求其次,不能使P(O|
)全局最优,就寻求使其局部最优(最大化)的解决方法,而前向-后向算法(又称之为Baum-Welch算法)就成了隐马尔科夫模型学习问题的一种替代(近似)解决方法。
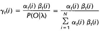
我们首先定义两个变量。给定观察序列O及隐马尔科夫模型
,定义t时刻位于隐藏状态Si的概率变量为:

回顾一下第二节中关于前向变量at(i)及后向变量Bt(i)的定义,我们可以很容易地将上式用前向、后向变量表示为:

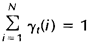
其中分母的作用是确保:
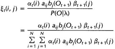
给定观察序列O及隐马尔科夫模型
,定义t时刻位于隐藏状态Si及t+1时刻位于隐藏状态Sj的概率变量为:

该变量在网格中所代表的关系如下图所示:

同样,该变量也可以由前向、后向变量表示:

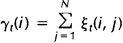
而上述定义的两个变量间也存在着如下关系:

如果对于时间轴t上的所有
相加,我们可以得到一个总和,它可以被解释为从其他隐藏状态访问Si的期望值(网格中的所有时间的期望),或者,如果我们求和时不包括时间轴上的t=T时刻,那么它可以被解释为从隐藏状态Si出发的状态转移期望值。相似地,如果对
在时间轴t上求和(从t=1到t=T-1),那么该和可以被解释为从状态Si到状态Sj的状态转移期望值。即:

未完待续:前向-后向算法5
注:原创文章,转载请注明出处“我爱自然语言处理”:www.52nlp.cn
本文链接地址:https://www.52nlp.cn/hmm-learn-best-practices-seven-forward-backward-algorithm-4
你好,问个局外的问题,你这个是免费的空间吗?是谁提供的?
[回复]
是免费的,http://www.exwebs.com/ 提供的。
[回复]
写的超好的说 但不是很明白这一段 如果对于时间轴t上的所有相加,我们可以得到一个总和,它可以被解释为从其他隐藏状态访问Si的期望值(网格中的所有时间的期望),或者,如果我们求和时不包括时间轴上的t=T时刻,那么它可以被解释为从隐藏状态Si出发的状态转移期望值。相似地,如果对在时间轴t上求和(从t=1到t=T-1),那么该和可以被解释为从状态Si到状态Sj的状态转移期望值。 为什么是期望值而不是概率呢????
[回复]
yaya 回复:
19 10 月, 2015 at 10:47
公式看不太懂
[回复]
Pikoyo 回复:
7 5 月, 2020 at 18:22
您好,我也有这个困惑,请问您解决了吗?
[回复]
您好,请教您一个问题:在给定观察序列O的情况下,用B-W算法寻求一个λ使得P(O|λ)最大,这里的P(O|λ)与用迭代好了的λ使用前向算法计算的P(O|λ)是一致的吗?
[回复]
请问下,这个所谓的观察序列O 是不是就是学习的样本空间了呢?如果是的话,那么O应该包括了显性的输出和隐性的状态,对吗???
[回复]
您好,关于变量gamma用前向、后向变量表示的公式中,分母的累加式中的i与分子的i应该不是同一个含义吧?是否会引起歧义呢?
[回复]